Beranda
/ Soal Un Gerak Parabola / Un Sma 2017 Fisika Pembahasan No5 Perbandingan Gerak Vertikal Parabola Youtube : Sebuah bola sepak ditendang dengan laju sebesar 20 m/s membentuk sudut 30⁰ terhadap arah horizontal.
Soal Un Gerak Parabola / Un Sma 2017 Fisika Pembahasan No5 Perbandingan Gerak Vertikal Parabola Youtube : Sebuah bola sepak ditendang dengan laju sebesar 20 m/s membentuk sudut 30⁰ terhadap arah horizontal.
Soal Un Gerak Parabola / Un Sma 2017 Fisika Pembahasan No5 Perbandingan Gerak Vertikal Parabola Youtube : Sebuah bola sepak ditendang dengan laju sebesar 20 m/s membentuk sudut 30⁰ terhadap arah horizontal.. Dalam fisika, suatu benda yang dilemparkan dan membentuk sudut dengan bidang horizontal akan membentuk lintasan parabola. Sekarang simak beberapa variasi soal gerak parabola yang akan diberikan pada kumpulan contoh soal gerak parabola dan pembahasannya di bawah. Ingin mempelajari materi gerak parabola secara lebih mendalam? Dinamakan demikian karena pada kejadian di dunia nyata memang gerakannya. Dinamakan gerak parabola karena lintasannya berbentuk parabola, bukan bergerak lurus.
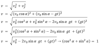
Modul & latihan soal gerak parabola. Sekarang simak beberapa variasi soal gerak parabola yang akan diberikan pada kumpulan contoh soal gerak parabola dan pembahasannya di bawah. Indentitas trigonometri → sin 2α = 2 sin α cos α. Contoh soal gerak parabola dapat meningkatkan kemampuan siswa secara menyeluruh baik dari intuisi, pengetahuan, interpretasi, dan penyelesaian masalah. Posted on march 22, 2011 | 10 comments.
Contoh Soal Gerak Parabola Lengkap Dengan Pembahasannya from rumusbilangan.com Dinamakan gerak parabola karena lintasannya berbentuk parabola, bukan bergerak lurus. Dua buah benda a dan b berada pada ketinggian yang sama dari tanah. Baiklah langsung aja mari kita simak bersama. Jarak horizontal pada ketinggian yang sama ketika peluru ditembakkan (r) adalah. Dimana gerak parabola mempunyai sebutan lain yaitu gerak peluru (projectile motion). Sebuah pesawat terbang sar menjatuhkan sebuah paket makanan kepada para pengungsi. Beberapa contoh soal untuk menyelesaikan kasus gerak parabola dapat kita. Syarat wajib menyelesaikan soal gerak parabola, siswa harus memahami:
Modul & latihan soal gerak parabola.
This entry was posted in soal gerak dan gaya and tagged gerak parabola, soal fisika, soal gerak parabola. Peluru ditembakkan dengan sudut elevasi dan kecepatan awal seperti pada gambar di bawah ini. Sebuah bola sepak ditendang dengan laju sebesar 20 m/s membentuk sudut 30⁰ terhadap arah horizontal. Pada pembahasan gerak kali ini, burhan bakalan jelasin materi tentang gerak parabola. Dimana gerak parabola mempunyai sebutan lain yaitu gerak peluru (projectile motion). Karena lintasannya berbentuk parabola, bukan bergerak lurus. Contoh soal gerak parabola dapat meningkatkan kemampuan siswa secara menyeluruh baik dari intuisi, pengetahuan, interpretasi, dan penyelesaian masalah. Karena gerak parabola terbentuk dari dua buah jenis gerak, yaitu glbb pada sumbu y dan glb pada sumbu x, maka terlebih dahulu harus dicari kecepatan gerak peluru. Indentitas trigonometri → sin 2α = 2 sin α cos α. Dalam fisika, suatu benda yang dilemparkan dan membentuk sudut dengan bidang horizontal akan membentuk lintasan parabola. Gerak parabola (perpaduan glb dan glbb) gerak parabola adalah gerak yang membentuk sudut tertentu terhadap bidang horizontal. Gerak parabola (perpaduan glb dan glbb) gerak parabola adalah gerak yang membentuk sudut tertentu terhadap bidang horizontal. Setelahnya, kamu bisa mengerjakan kuis berupa latihan soal untuk mengasah kemampuan.
Sebuah bola sepak ditendang dan menempuh lintasan parabola. Ingin mempelajari materi gerak parabola secara lebih mendalam? Soal & pembahasan ulangan harian fisika sma gerak parabola kelas xi ipa sma prepared by ; Dua buah benda a dan b berada pada ketinggian yang sama dari tanah. Sebuah peluru ditembakkan dari moncong sebuah meriam dengan kelajuan 50 m/s arah mendatar dari atas sebuah bukit, ilustrasi seperti gambar berikut.
4 Gerak Parabola from imgv2-2-f.scribdassets.com Sebuah peluru ditembakkan dari moncong sebuah meriam dengan kelajuan 50 m/s arah mendatar dari atas sebuah bukit, ilustrasi seperti gambar berikut. Berikut ini contoh soal dan pembahasan gerak parabola untuk materi pelajaran fisika kelas xi ipa sma. Sebuah pesawat terbang sar menjatuhkan sebuah paket makanan kepada para pengungsi. Modul & latihan soal gerak parabola. Soal fisika di bawah ini berkaitan dengan waktu untuk mencapai titik tertinggi; August 28, 2010 fisika study center leave a comment go to comments. Contoh soal gerak parabola dapat meningkatkan kemampuan siswa secara menyeluruh baik dari intuisi, pengetahuan, interpretasi, dan penyelesaian masalah. Karena lintasannya berbentuk parabola, bukan bergerak lurus.
Berapa kecepatan yang harus dicapai motor tersebut saat.
Namun dipertemuan sebelumnya kami telah membahas mengenai contoh soal usaha dan energi. Dinamakan gerak parabola karena lintasannya berbentuk parabola, bukan bergerak lurus. Pada pembahasan gerak kali ini, burhan bakalan jelasin materi tentang gerak parabola. Ingin mempelajari materi gerak parabola secara lebih mendalam? Rumus gerak parabola dan contoh soal, gerak parabola adalah gerak yang membentuk suatu sudut terhadap bidang horizontal gaya berat dan percepatan. Gerak parabola (perpaduan glb dan glbb) gerak parabola adalah gerak yang membentuk sudut tertentu terhadap bidang horizontal. Soal fisika di bawah ini berkaitan dengan waktu untuk mencapai titik tertinggi; Gerak parabola sendiri juga dikenal gerak peluru. Karena lintasannya berbentuk parabola, bukan bergerak lurus. 20 soal dan pembahasan gerak parabola. August 28, 2010 fisika study center leave a comment go to comments. Dua buah benda a dan b berada pada ketinggian yang sama dari tanah. Peluru ditembakkan dengan sudut elevasi dan kecepatan awal seperti pada gambar di bawah ini.
Pengertian gerak parabola gerak parabola merupakan gerak dua dimensi suatu benda yang bergerak membentuk sudut tertentu (sudut elevasi). Sebuah bola sepak ditendang dan menempuh lintasan parabola. Sebuah bola sepak ditendang dengan laju sebesar 20 m/s membentuk sudut 30⁰ terhadap arah horizontal. Peluru ditembakkan dengan sudut elevasi dan kecepatan awal seperti pada gambar di bawah ini. Contoh soal gerak parabola dapat meningkatkan kemampuan siswa secara menyeluruh baik dari intuisi, pengetahuan, interpretasi, dan penyelesaian masalah.
Full Pembahasan Soal Un Fisika Sma 2018 Pdf Dan Video Lakonfisika Net from 2.bp.blogspot.com Berapa kecepatan yang harus dicapai motor tersebut saat. Definisi gerak parabola (gp) adalah perpaduan dua gerak sekaligus yaitu gerak lurus beraturan (glb). Gerak parabola (perpaduan glb dan glbb) gerak parabola adalah gerak yang membentuk sudut tertentu terhadap bidang horizontal. Contoh gerak parabola adalah gerak benda dengan lemparan ke atas dan membentuk sudut tertentu terhadap dua arah. soal dan pembahasan sistem gerak pada manusia. Pada titik tertinggi, maka … Dinamakan gerak parabola karena lintasannya berbentuk parabola, bukan bergerak lurus. Beberapa contoh soal untuk menyelesaikan kasus gerak parabola dapat kita.
Sebuah pesawat terbang sar menjatuhkan sebuah paket makanan kepada para pengungsi.
Dinamakan gerak parabola karena lintasannya berbentuk parabola, bukan bergerak lurus. Kecepatan peluru pada sumbu x sumbu y, jarak yang ditempuh peluru pada waktu tertentu, jarak terjauh. Contoh soal gerak parabola dapat meningkatkan kemampuan siswa secara menyeluruh baik dari intuisi, pengetahuan, interpretasi, dan penyelesaian masalah. Pada pembahasan gerak kali ini, burhan bakalan jelasin materi tentang gerak parabola. Sekarang simak beberapa variasi soal gerak parabola yang akan diberikan pada kumpulan contoh soal gerak parabola dan pembahasannya di bawah. Gerak parabola sendiri juga dikenal gerak peluru. Berapa waktu yang diperlukan peluru untuk menyentuh tanah dan berapa. Indentitas trigonometri → sin 2α = 2 sin α cos α. Rumus gerak parabola dan contoh soal, gerak parabola adalah gerak yang membentuk suatu sudut terhadap bidang horizontal gaya berat dan percepatan. 20 soal dan pembahasan gerak parabola. Gerak parabola (perpaduan glb dan glbb) gerak parabola adalah gerak yang membentuk sudut tertentu terhadap bidang horizontal. Sebuah peluru ditembakkan dari moncong sebuah meriam dengan kelajuan 50 m/s arah mendatar dari atas sebuah bukit, ilustrasi seperti gambar berikut. Gerak benda ini merupakan gabungan dari penerapan gerak lurus beraturan dan gerak lurus berubah beraturan contoh soal gerak parabola.
Berbagi
Posting Komentar
untuk "Soal Un Gerak Parabola / Un Sma 2017 Fisika Pembahasan No5 Perbandingan Gerak Vertikal Parabola Youtube : Sebuah bola sepak ditendang dengan laju sebesar 20 m/s membentuk sudut 30⁰ terhadap arah horizontal."
Posting Komentar untuk "Soal Un Gerak Parabola / Un Sma 2017 Fisika Pembahasan No5 Perbandingan Gerak Vertikal Parabola Youtube : Sebuah bola sepak ditendang dengan laju sebesar 20 m/s membentuk sudut 30⁰ terhadap arah horizontal."